Gur Yayinlari 9 Sinif Gercek Sayilar Denklem Esitsizlik Uslu Koklu Sayilar Fasikulu Mini Test 3 Cozumleri Matematik Kitap Cozumleri Matematik Kalesi

Gur Yayinlari 9 Sinif Gercek Sayilar Denklem Esitsizlik Uslu Koklu Sayilar Fasikulu Mini Test 3 Cozumleri Matematik Kitap Cozumleri Matematik Kalesi

Gur Yayinlari 9 Sinif Gercek Sayilar Denklem Esitsizlik Uslu Koklu Sayilar Fasikulu Mini Test 8 Cozumleri Matematik Kitap Cozumleri Matematik Kalesi

Gur Yayinlari 9 Sinif Gercek Sayilar Denklem Esitsizlik Uslu Koklu Sayilar Fasikulu Mini Test 8 Cozumleri Matematik Kitap Cozumleri Matematik Kalesi

Esen Yayinlari 9 Sinif Matematik Soru Bankasi Fasikul Seti Kumeler Konusu Test 3 Cozumleri Matematik Kitap Cozumleri Matematik Kalesi

Esen Yayinlari 9 Sinif Matematik Soru Bankasi Fasikul Seti Kumeler Konusu Test 3 Cozumleri Matematik Kitap Cozumleri Matematik Kalesi

Gur Yayinlari Cozumleri Matematik Kitap Cozumleri Matematik Kalesi

Gur Yayinlari Cozumleri Matematik Kitap Cozumleri Matematik Kalesi

9 Sinif Model Matematik Fasikulleri Seti Gur Yayinlari 9786054546183

9 Sinif Model Matematik Fasikulleri Seti Gur Yayinlari 9786054546183

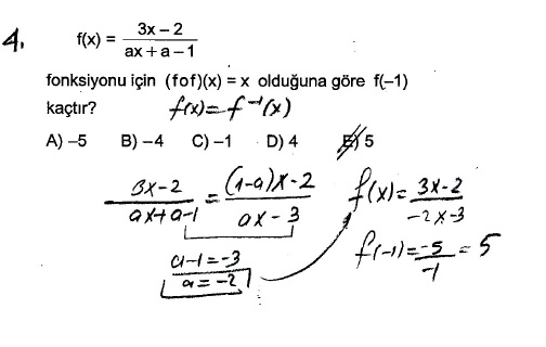
Uc Renk 10 Sinif Matematik Soru Bankasi Fonksiyonlar Konusu Test 2 Cozumleri Matematik Kitap Cozumleri Matematik Kalesi

Uc Renk 10 Sinif Matematik Soru Bankasi Fonksiyonlar Konusu Test 2 Cozumleri Matematik Kitap Cozumleri Matematik Kalesi

Uc Renk 10 Sinif Matematik Soru Bankasi Fonksiyonlar Konusu Test 2 Cozumleri Matematik Kitap Cozumleri Matematik Kalesi >

Uc Renk 10 Sinif Matematik Soru Bankasi Fonksiyonlar Konusu Test 10 Cozumleri Matematik Kitap Cozumleri Matematik Kalesi

Uc Renk 10 Sinif Matematik Soru Bankasi Fonksiyonlar Konusu Test 10 Cozumleri Matematik Kitap Cozumleri Matematik Kalesi

Supara Tyt Sayilarin Siniflandirilmasi Test 5 Cozumleri Matematik Kitap Cozumleri Matematik Kalesi

Supara Tyt Sayilarin Siniflandirilmasi Test 5 Cozumleri Matematik Kitap Cozumleri Matematik Kalesi

Logaritma Soru Cozum 1 Matematik Kitap Cozumleri Matematik Kalesi

Logaritma Soru Cozum 1 Matematik Kitap Cozumleri Matematik Kalesi

Uc Renk 10 Sinif Matematik Soru Bankasi Fonksiyonlar Konusu Test 11 Cozumleri Matematik Kitap Cozumleri Matematik Kalesi

Uc Renk 10 Sinif Matematik Soru Bankasi Fonksiyonlar Konusu Test 11 Cozumleri Matematik Kitap Cozumleri Matematik Kalesi

Gur Yayinlari 10 Sinif Olasilik Test 16 Cozumleri Matematik Kitap Cozumleri Matematik Kalesi

Gur Yayinlari 10 Sinif Olasilik Test 16 Cozumleri Matematik Kitap Cozumleri Matematik Kalesi

Diziler Soru Cozum Matematik Kitap Cozumleri Matematik Kalesi

Diziler Soru Cozum Matematik Kitap Cozumleri Matematik Kalesi

Mantik Konusu Soru Cozum Matematik Kitap Cozumleri Matematik Kalesi

Mantik Konusu Soru Cozum Matematik Kitap Cozumleri Matematik Kalesi

Kartezyen Carpim Soru Cozumu Matematik Kitap Cozumleri Matematik Kalesi

Kartezyen Carpim Soru Cozumu Matematik Kitap Cozumleri Matematik Kalesi

Esen 11 Sinif Matematik Parabol Cozumleri Rehber 20 Matematik Kitap Cozumleri Matematik Kalesi

Esen 11 Sinif Matematik Parabol Cozumleri Rehber 20 Matematik Kitap Cozumleri Matematik Kalesi

Supara Tyt Matematik Oran Oranti Test 7 Cozumleri Matematik Kitap Cozumleri Matematik Kalesi

Supara Tyt Matematik Oran Oranti Test 7 Cozumleri Matematik Kitap Cozumleri Matematik Kalesi

11 Sinif Diziler Konu Anlatimi Matematik Sinif

11 Sinif Diziler Konu Anlatimi Matematik Sinif

12 Sinif Limit Ve Sureklilik Konu Anlatimi Math Sheet Music Math Equations

12 Sinif Limit Ve Sureklilik Konu Anlatimi Math Sheet Music Math Equations

12 Sinif Limit Ve Sureklilik Konu Anlatimi Matematik Sinif 1 Sinif

12 Sinif Limit Ve Sureklilik Konu Anlatimi Matematik Sinif 1 Sinif

Esen 9 Sinif Soru Bankasi Denklem Ve Esitsizlik Test 2 Cozumleri Matematik Kitap Cozumleri Matematik Kalesi

Esen 9 Sinif Soru Bankasi Denklem Ve Esitsizlik Test 2 Cozumleri Matematik Kitap Cozumleri Matematik Kalesi

Supara Tyt Matematik Oran Oranti Test 3 Cozumleri Matematik Kitap Cozumleri Matematik Kalesi

Supara Tyt Matematik Oran Oranti Test 3 Cozumleri Matematik Kitap Cozumleri Matematik Kalesi

Esen 10 Sinif Soru Bankasi Fonksiyonlar Test 1 Cozumleri Matematik Kitap Cozumleri Matematik Kalesi

Esen 10 Sinif Soru Bankasi Fonksiyonlar Test 1 Cozumleri Matematik Kitap Cozumleri Matematik Kalesi

11 Sinif Diziler Konu Anlatimi Matematik Aritmetik Kitap

11 Sinif Diziler Konu Anlatimi Matematik Aritmetik Kitap

Kumeler Soru Cozumleri Matematik Kitap Cozumleri Matematik Kalesi

Kumeler Soru Cozumleri Matematik Kitap Cozumleri Matematik Kalesi

Ucrenk 10 Sinif Polinomlar Test 12 Cozumleri Matematik Kitap Cozumleri Matematik Kalesi

Ucrenk 10 Sinif Polinomlar Test 12 Cozumleri Matematik Kitap Cozumleri Matematik Kalesi

Esen Yayinlari 11 Sinif Matematik Fasikul Soru Bankasi Dogrunun Analitik Incelenmesi Konusu Rehber 24 Cozumleri Matematik Kitap Cozumleri Matematik Kalesi

Esen Yayinlari 11 Sinif Matematik Fasikul Soru Bankasi Dogrunun Analitik Incelenmesi Konusu Rehber 24 Cozumleri Matematik Kitap Cozumleri Matematik Kalesi

Gur Yayinlari 10 Sinif Permutasyon Test 1 Cozumleri Matematik Kitap Cozumleri Matematik Kalesi

Gur Yayinlari 10 Sinif Permutasyon Test 1 Cozumleri Matematik Kitap Cozumleri Matematik Kalesi

Ikinci Dereceden Denklemler Soru Cozumu Matematik Kitap Cozumleri Matematik Kalesi

Ikinci Dereceden Denklemler Soru Cozumu Matematik Kitap Cozumleri Matematik Kalesi

Esen Yayinlari 9 Sinif Matematik Fasikul Seti Mantik Test 3 Cozumleri Matematik Kitap Cozumleri Matematik Kalesi

Esen Yayinlari 9 Sinif Matematik Fasikul Seti Mantik Test 3 Cozumleri Matematik Kitap Cozumleri Matematik Kalesi

Supara Tyt Matematik Carpanlara Ayirma Test 8 Cozumleri Matematik Kitap Cozumleri Matematik Kalesi

Supara Tyt Matematik Carpanlara Ayirma Test 8 Cozumleri Matematik Kitap Cozumleri Matematik Kalesi

Source : pinterest.com